
Tianjin Medical Journal ›› 2023, Vol. 51 ›› Issue (11): 1181-1186.doi: 10.11958/20230415
• Experimental Research • Previous Articles Next Articles
LIN Yongwen(
), CHEN Qiaomei, AO Dang, HUANG Binglong, LUO Chengzhu, LI Chengyan△(
)
Received:2023-03-24
Revised:2023-05-26
Published:2023-11-15
Online:2023-11-07
Contact:
△E-mail:LIN Yongwen, CHEN Qiaomei, AO Dang, HUANG Binglong, LUO Chengzhu, LI Chengyan. Research on effect of mitophagy-NLRP3 inflammasome pathway in cerebral ischemia-reperfusion of neonatal rats[J]. Tianjin Medical Journal, 2023, 51(11): 1181-1186.
CLC Number:
| 组别 | 突触数 | 肿胀线粒体数 |
|---|---|---|
| Sham组 | 4.143±0.690 | 0.857±0.378 |
| CIRI组 | 2.286±0.756a | 3.714±0.488a |
| CIRI+DMSO组 | 2.286±0.951a | 4.000±0.817a |
| CIRI+Mdivi-1组 | 0.857±0.378b | 6.143±0.900b |
| CIRI+MCC950组 | 5.286±0.756bc | 1.714±0.756bc |
| CIRI+Ac-YVAD-cmk组 | 4.429±0.535bc | 2.857±0.690bc |
| F | 39.570** | 50.250** |
Tab.1 Comparison of synapses and swelling mitochondrias observed by transmission electron microscopy in the hippocampus CA1 tissue between six groups of neonatal rats
| 组别 | 突触数 | 肿胀线粒体数 |
|---|---|---|
| Sham组 | 4.143±0.690 | 0.857±0.378 |
| CIRI组 | 2.286±0.756a | 3.714±0.488a |
| CIRI+DMSO组 | 2.286±0.951a | 4.000±0.817a |
| CIRI+Mdivi-1组 | 0.857±0.378b | 6.143±0.900b |
| CIRI+MCC950组 | 5.286±0.756bc | 1.714±0.756bc |
| CIRI+Ac-YVAD-cmk组 | 4.429±0.535bc | 2.857±0.690bc |
| F | 39.570** | 50.250** |
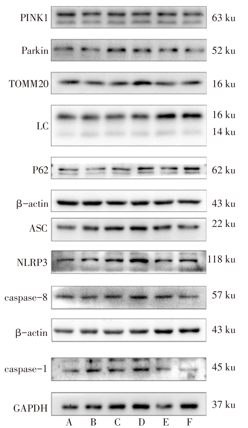
| 组别 | PINK1 | Parkin | TOMM20 | LC3Ⅱ/Ⅰ | P62 |
|---|---|---|---|---|---|
| Sham组 | 0.583±0.149 | 0.373±0.056 | 1.508±0.325 | 0.177±0.062 | 1.284±0.238 |
| CIRI组 | 1.114±0.293a | 0.867±0.125a | 0.861±0.195a | 0.345±0.103a | 0.719±0.037a |
| CIRI+DMSO组 | 1.096±0.283a | 0.864±0.126a | 0.895±0.143a | 0.365±0.128a | 0.723±0.032a |
| CIRI+Mdivi-1组 | 0.581±0.073b | 0.413±0.027b | 1.874±0.275b | 0.183±0.047b | 1.425±0.099b |
| CIRI+MCC950组 | 1.628±0.395c | 1.263±0.256c | 0.746±0.092c | 0.530±0.163c | 0.623±0.067c |
| CIRI+Ac-YVAD-cmk组 | 1.388±0.341ac | 0.903±0.168c | 0.854±0.166c | 0.377±0.081c | 0.685±0.079c |
| F | 6.860** | 15.740** | 13.670** | 4.830* | 27.510** |
Tab.2 Comparison of mitophagy protein relative expression levels in hippocampal CA1 tissue of newborn rats between the groups
| 组别 | PINK1 | Parkin | TOMM20 | LC3Ⅱ/Ⅰ | P62 |
|---|---|---|---|---|---|
| Sham组 | 0.583±0.149 | 0.373±0.056 | 1.508±0.325 | 0.177±0.062 | 1.284±0.238 |
| CIRI组 | 1.114±0.293a | 0.867±0.125a | 0.861±0.195a | 0.345±0.103a | 0.719±0.037a |
| CIRI+DMSO组 | 1.096±0.283a | 0.864±0.126a | 0.895±0.143a | 0.365±0.128a | 0.723±0.032a |
| CIRI+Mdivi-1组 | 0.581±0.073b | 0.413±0.027b | 1.874±0.275b | 0.183±0.047b | 1.425±0.099b |
| CIRI+MCC950组 | 1.628±0.395c | 1.263±0.256c | 0.746±0.092c | 0.530±0.163c | 0.623±0.067c |
| CIRI+Ac-YVAD-cmk组 | 1.388±0.341ac | 0.903±0.168c | 0.854±0.166c | 0.377±0.081c | 0.685±0.079c |
| F | 6.860** | 15.740** | 13.670** | 4.830* | 27.510** |
| 组别 | ASC | NLRP3 | caspase-8 | caspase-1 |
|---|---|---|---|---|
| Sham组 | 0.326±0.079 | 0.233±0.044 | 0.478±0.067 | 0.430±0.100 |
| CIRI组 | 0.869±0.253a | 0.482±0.088a | 1.039±0.081a | 0.835±0.142a |
| CIRI+DMSO组 | 0.826±0.278a | 0.482±0.072a | 1.027±0.137a | 0.794±0.172a |
| CIRI+Mdivi-1组 | 1.117±0.302 | 0.825±0.189b | 1.443±0.086b | 1.193±0.109b |
| CIRI+MCC950组 | 0.511±0.097c | 0.366±0.087c | 0.516±0.050bc | 0.647±0.148c |
| CIRI+Ac-YVAD-cmk组 | 0.673±0.090 | 0.488±0.119 | 0.648±0.051bc | 0.758±0.055c |
| F | 5.510* | 9.630** | 60.340** | 11.690** |
Tab.3 Comparison of NLRP3 inflammasome protein relative expression levels in hippocampal CA1 tissue of newborn rats between the groups
| 组别 | ASC | NLRP3 | caspase-8 | caspase-1 |
|---|---|---|---|---|
| Sham组 | 0.326±0.079 | 0.233±0.044 | 0.478±0.067 | 0.430±0.100 |
| CIRI组 | 0.869±0.253a | 0.482±0.088a | 1.039±0.081a | 0.835±0.142a |
| CIRI+DMSO组 | 0.826±0.278a | 0.482±0.072a | 1.027±0.137a | 0.794±0.172a |
| CIRI+Mdivi-1组 | 1.117±0.302 | 0.825±0.189b | 1.443±0.086b | 1.193±0.109b |
| CIRI+MCC950组 | 0.511±0.097c | 0.366±0.087c | 0.516±0.050bc | 0.647±0.148c |
| CIRI+Ac-YVAD-cmk组 | 0.673±0.090 | 0.488±0.119 | 0.648±0.051bc | 0.758±0.055c |
| F | 5.510* | 9.630** | 60.340** | 11.690** |
| [1] | ZHANG Y, LEI Y, JIANG H, et al. Analysis of the correlation between the severity of neonatal hypoxic ischemic encephalopathy and multiple organ dysfunction[J]. Am J Transl Res, 2022, 14(1):311-319. |
| [2] | SHEN L, GAN Q, YANG Y, et al. Mitophagy in cerebral ischemia and ischemia/reperfusion injury[J]. Front Aging Neurosci, 2021, 13:687246. doi:10.3389/fnagi.2021.687246. |
| [3] | ZHU J J, YU B Y, HUANG X K, et al. Neferine protects against hypoxic-ischemic brain damage in neonatal rats by suppressing NLRP3-mediated inflammasome activation[J]. Oxid Med Cell Longev, 2021, 2021:6654954. doi:10.1155/2021/6654954. |
| [4] | WANG L, REN W, WU Q, et al. NLRP3 inflammasome activation:A therapeutic target for cerebral ischemia-reperfusion injury[J]. Front Mol Neurosci, 2022, 15:847440. doi: 10.3389/fnmol.2022.847440. |
| [5] | XU Q, ZHAO B, YE Y, et al. Relevant mediators involved in and therapies targeting the inflammatory response induced by activation of the NLRP3 inflammasome in ischemic stroke[J]. J Neuroinflammation, 2021, 18(1):123. doi:10.1186/s12974-021-02137-8. |
| [6] | MISHRA S R, MAHAPATRA K K, BEHERA B P, et al. Mitochondrial dysfunction as a driver of NLRP3 inflammasome activation and its modulation through mitophagy for potential therapeutics[J]. Int J Biochem Cell Biol, 2021, 136:106013. doi:10.1016/j.biocel.2021.106013. |
| [7] | BILLINGHAM L K, STOOLMAN J S, VASAN K, et al. Mitochondrial electron transport chain is necessary for NLRP3 inflammasome activation[J]. Nat Immunol, 2022, 23(5):692-704. doi:10.1038/s41590-022-01185-3. |
| [8] | LIN Q, LI S, JIANG N, et al. PINK1-Parkin pathway of mitophagy protects against contrast-induced acute kidney injury via decreasing mitochondrial ROS and NLRP3 inflammasome activation[J]. Redox Biol, 2019, 26:101254. doi:10.1016/j.redox.2019.101254. |
| [9] | XU Y, TANG Y, LU J, et al. PINK1-mediated mitophagy protects against hepatic ischemia/reperfusion injury by restraining NLRP3 inflammasome activation[J]. Free Radic Biol Med, 2020, 160:871-886. doi:10.1016/j.freeradbiomed.2020.09.015. |
| [10] | 李承燕, 周璇, 唐兰芬, 等. 胰高血糖素样肽-1对新生乳鼠脑缺血再灌注损伤的影响[J]. 中国医药导报, 2022, 19(2):4-7,12. |
| LI C Y, ZHOU X, TANG L F, et al. Glucagon-like peptide-1 inhibits apoptosis and inflammatory response of hippocampal neurons in neonatal rats with hypoxia-reperfusion via NF-κB[J]. China Med Herald, 2022, 19(2):4-7,12. doi:10.3969/j.issn.1673-7210.2022.2.yycyzx202202002. | |
| [11] | LV S, LIU H, WANG H. The interplay between autophagy and NLRP3 inflammasome in ischemia/reperfusion injury[J]. Int J Mol Sci, 2021, 22(16):8773. doi:10.3390/ijms22168773. |
| [12] | GONG Z, PAN J, SHEN Q, et al. Mitochondrial dysfunction induces NLRP3 inflammasome activation during cerebral ischemia/reperfusion injury[J]. J Neuroinflammation, 2018, 15(1):242. doi:10.1186/s12974-018-1282-6. |
| [13] | FRANKE M, BIEBER M, KRAFT P, et al. The NLRP3 inflammasome drives inflammation in ischemia/reperfusion injury after transient middle cerebral artery occlusion in mice[J]. Brain Behav Immun, 2021, 92:223-233. doi:10.1016/j.bbi.2020.12.009. |
| [14] | ZHU H, JIAN Z, ZHONG Y, et al. Janus kinase inhibition ameliorates ischemic stroke injury and neuroinflammation through reducing NLRP3 inflammasome activation via JAK2/STAT3 pathway inhibition[J]. Front Immunol, 2021, 12:714943. doi: 10.3389/fimmu.2021.714943. |
| [15] | CUI Y, ZHANG N N, WANG D, et al. Modified citrus pectin alleviates cerebral ischemia/reperfusion injury by inhibiting NLRP3 inflammasome activation via TLR4/NF-κB signaling pathway in microglia[J]. J Inflamm Res, 2022, 15:3369-3385. doi:10.2147/JIR.S366927. |
| [16] | KAUR S, SHARMA N, KUMAR V, et al. The role of mitophagy in various neurological diseases as a therapeutic approach[J]. Cell Mol Neurobiol, 2022:1-17. doi:10.1007/s10571-022-01302-8. |
| [17] | WU M, GU X, MA Z. Mitochondrial quality control in cerebral ischemia-reperfusion injury[J]. Mol Neurobiol, 2021, 58(10):5253-5271. doi:10.1007/s12035-021-02494-8. |
| [18] | HE Q, LI Z, MENG C, et al. Parkin-dependent mitophagy is required for the inhibition of ATF4 on NLRP3 inflammasome activation in cerebral ischemia-reperfusion injury in rats[J]. Cells, 2019, 8(8):897. doi:10.3390/cells8080897. |
| [19] | GU L, SUN M, LI R, et al. Microglial pyroptosis:Therapeutic target in secondary brain injury following intracerebral hemorrhage[J]. Front Cell Neurosci, 2022, 16:971469. doi:10.3389/fncel.2022.971469. |
| [20] | SAGULENKO V, VITAK N, VAJJHALA P R, et al. Caspase-1 is an apical caspase leading to caspase-3 cleavage in the AIM2 inflammasome response,independent of caspase-8[J]. J Mol Biol, 2018, 430(2):238-247. doi:10.1016/j.jmb.2017.10.028. |
| [21] | ZHANG A, ZHANG Z, LIU Y, et al. The role of caspase family in acute brain injury: the potential therapeutic targets in the future[J]. Curr Neuropharmacol, 2022, 20(6):1194-1211. doi:10.2174/1570159X19666211111121146. |
| [22] | LIANG Y, SONG P, CHEN W, et al. Inhibition of caspase-1 ameliorates ischemia-associated blood-brain barrier dysfunction and integrity by suppressing pyroptosis activation[J]. Front Cell Neurosci, 2020, 14:540669. doi:10.3389/fncel.2020.540669. |
| Viewed | ||||||
|
Full text |
|
|||||
|
Abstract |
|
|||||